L’esempio della pasta rinforzata
come Capolavoro per tecnici chimici
Valentina Blengini, Serena Oneglio, Romina Giordano, Daniele Solazzo,
Cristina Gandolfo e Gian Luigi Puleo
IIS Polo Tecnologico Imperiese
e-mail: puleo.gianluigi@polotecnologicoimperiese.it
Indice
1. Introduzione: educazione permanente e territorio
2. Progettazione e metodologie didattiche
3. La pasta rinforzata: un concetto interessante dal punto di vista chimico ed alimentare
4. Descrizione del percorso didattico
Abstract. Fortified pasta with ingredients derived from agriculture leftovers or expired foods was already proposed in scientific literature and it could suggest an interesting field at the crossroad between food science and biochemistry for the terminal year of chemistry technical high school, strictly linked with sustainability and territory traditions. In this article we proposed a teaching activity based on Participatory Action Research (PAR) methodology applied to the preparation of fortified pasta with olive paté (OP) and to the design of some simple analysis performed on this material.
Keywords: educazione permanente; modello territoriale; ricerca-azione partecipata; pasta rinforzata; sostenibilità alimentare; biochimica; chimica analitica
1. Introduzione: educazione permanente e territorio
Lo sviluppo dell’educazione permanente è uno degli obiettivi principali dei percorsi tecnici per chimici dell’istruzione secondaria superiore [1], ma si scontra spesso con la realtà statica e autoreferenziale dell’istituzione scolastica. Tra i possibili mediatori di questo conflitto fra teoria e prassi dell’educazione permanente è interessante prendere in esame il concetto di territorio all’interno del quale la comunità di apprendimento si muove: il territorio può essere considerato un mediatore didattico perché, se adeguatamente letto, porta alla costruzione di percorsi formativi con forte carattere permanente, che possono essere estesi alla cittadinanza attraverso opportune attività di divulgazione; il territorio, inoltre, è il risultato di un’evoluzione storica che può suggerire inedite direzioni di sviluppo, se opportunamente collegato a una comunità educante; infine, il territorio è il primo ambiente di crescita del diplomato tecnico, che, grazie alle competenze professionalizzanti acquisite, può collaborare immediatamente con il tessuto produttivo [2].
Tra gli obiettivi dell’educazione permanente, l’esigenza di preparare cittadini consapevoli, autonomi e dotati di pensiero critico, capaci di affrontare le sfide di una società sempre più complessa e in continuo mutamento, risulta fondamentale ed è strettamente legata alla centralità dello studente nell’azione didattica [3]. La scuola, in questo scenario, diventa un ambiente di crescita personale e relazionale, dove lo studente non è più un soggetto passivo, ma un protagonista attivo e consapevole del proprio percorso formativo [4].
La scelta di un tema fondamentale come le produzioni alimentari [5], in un territorio ricco di aziende del settore come quello ligure, è consequenziale per la creazione di percorsi didattici collegati all’educazione permanente e, in un percorso tecnico, consente di approfondire molte aree della programmazione disciplinare del corso di Chimica e Materiali. L’esempio riportato in questo lavoro, legato alla preparazione e allo studio di paste alimentari rinforzate al paté di oliva, viene proposto per il suo carattere di specificità nel legame con il territorio, di metodologia didattica utilizzata e di qualità della divulgazione effettuata sul territorio.
2. Progettazione e metodologie didattiche
Il progetto didattico proposto è stato sviluppato a stretto contatto con il territorio ligure, in particolare con quello della Provincia di Imperia, con lo scopo preciso di portare avanti una riflessione sulla scienza e la tecnologia locali, in relazione alla loro evoluzione storica [1]. In particolare, l’idea originale è nata da una collaborazione con l’Associazione Italiana Amici dei Mulini Storici (AIAMS), che ha proposto ai docenti del Polo Tecnologico Imperiese di lavorare genericamente sul tema Le ruote del grano e dell’olio [6, 7]. Da qui lo sviluppo di un progetto ottenuto combinando farina e paté di olive, prodotti collegati alla tradizione dei frantoi industriali e dei pastifici locali.
In linea con l’obiettivo di trasformare l’istituto tecnico in una scuola dell’innovazione [1], si è scelto di orientare il progetto verso uno sviluppo di tecnologie sostenibili, di recupero e di sviluppo del benessere dell’individuo. Questo è stato ottenuto scegliendo di lavorare con il paté di olive disidratato (a più lunga conservazione e ottenuto dai vasetti prossimi alla scadenza o appena ritirati dal mercato), di esplorare l’utilizzo di materiali di partenza non sempre utilizzati a livello industriale (farine integrali e farine di grano antico, a basso contenuto di glutine) e di combinare gli ingredienti per ottenere un prodotto che avesse caratteristiche nutrizionali complete.
Per favorire l’attitudine degli studenti all’autoapprendimento, al lavoro di gruppo e alla formazione continua [1], è stato costruito tra docenti, personale tecnico e studenti un team di lavoro con l’obiettivo di ottenere un Capolavoro per il Curriculum dello Studente [8], sviluppato in orario scolastico (in parallelo ai laboratori di Chimica Organica e Biochimica, di Chimica Analitica e Strumentale e di Tecnologie Chimiche Industriali del V anno di corso) ed extrascolastico, su base volontaria.
La progettazione didattica prevedeva le seguenti fasi:
• Preparazione delle paste rinforzate svolta dagli studenti utilizzando le metodiche già presenti in letteratura
• Discussione sulle possibili tecniche analitiche utilizzabili per raccogliere informazioni sul nuovo prodotto alimentare
• Analisi del primo prodotto ottenuto con semplici tecniche conosciute ed eventuale valutazione organolettica
• Preparazione di prodotti nuovi legati alle tradizioni del territorio in base alle conoscenze apprese nel corso di studi e nella propria esperienza
• Analisi dei prodotti ottenuti, confronto e discussione dei risultati
• Sviluppo creativo del prodotto (modifiche alla ricetta o alla produzione, e/o proposte per la vendita del prodotto)
• Presentazione dei risultati a un concorso nazionale e a eventi locali collegati ai prodotti del territorio, con eventuali contatti con aziende
La metodologia didattica utilizzata è basata sulla costruzione di un piccolo gruppo di ricerca, dove gli studenti collaborano allo stesso livello con i docenti durante l’elaborazione del proprio Capolavoro, secondo il modello della Ricerca-Azione Partecipata (Participatory Action Research, PAR) [9, 10]. Inizialmente gli studenti affrontano una discussione con un docente che funge da supervisore scientifico, che si occupa dell’ideazione del progetto; quindi, interagiscono con il personale tecnico e l’insegnante tecnico pratico, progettando e sviluppando in autonomia la parte di laboratorio; infine, in collaborazione con un docente che si occupa della divulgazione, progettano e partecipano agli eventi per la presentazione dei risultati sul territorio. I tempi dell’attività sono dettati in autonomia dagli studenti, i quali devono organizzare le attività sperimentali e riuscire a gestire i materiali in vista degli appuntamenti divulgativi calendarizzati. Il progetto nella parte di sviluppo laboratoriale è durato circa 3 mesi con un tempo di divulgazione dei risultati di circa 2 mesi. I materiali multimediali, i dati numerici, le metodiche sperimentali, i risultati parziali e le presentazioni finali sono stati condivisi dal gruppo di ricerca mediante Google Classroom.
3. La pasta rinforzata: un concetto interessante dal punto di vista chimico ed alimentare
La pasta è uno degli alimenti di maggior successo tra quelli consumati in tutto il mondo e viene prodotta utilizzando semola di grano (Triticum durum), acqua e additivi. Gli ingredienti vengono mescolati in determinate proporzioni fino a diventare un impasto omogeneo, successivamente modellato ed essiccato. Il largo consumo di questo tipo di pasta è favorito dal suo gusto, dalla sua versatilità, dal basso costo, dall’alto valore nutrizionale, dalla facilità di preparazione e dalla lunga conservazione: contiene, infatti, quantità significative di carboidrati complessi, proteine, vitamina B e micronutrienti (ad es., ferro). Nonostante questo, non è un alimento completo perché risulta povero di sodio, amminoacidi semplici e grassi.
Il miglioramento del contenuto nutrizionale del prodotto alimentare con additivi diversi (come frutta, verdura in polvere, uova e spezie) è diffuso nelle culture culinarie, specialmente italiane e, ultimamente, sta diventando un argomento di tendenza nella letteratura scientifica. Agli esempi già pubblicati in una review del settore [11], possiamo aggiungere la pasta rinforzata con polvere di corniolo [12], con polvere di foglie di olive e carote [13], con buccia di melograno, paté di olive e scarti di cavolo [14], e con paté di olive e bucce di uva [15].
Tra questi additivi si è scelto di lavorare sul paté di olive, come già specificato nel paragrafo precedente, per il suo legame con il territorio ligure. Il Paté di Olive (OP) è un alimento ottenuto per deamaricazione (normalmente con lavaggi in acqua o con bicarbonato di sodio) e omogeneizzazione delle olive denocciolate, oppure recuperato da spremiture parziali del frutto privato del nocciolo.
Il paté ottenuto con il primo metodo ha un contenuto di acqua pari a circa il 20% e viene usato come alimento, mentre quello ottenuto con il secondo metodo ha un contenuto di acqua del 75-80% e viene utilizzato soprattutto per la produzione di mangimi. La diffusione dell’OP in campo culinario è cresciuta negli ultimi cinquant’anni, ma il suo utilizzo stenta a decollare, rispetto a quello delle olive da mensa, nonostante il paté presenti una conservabilità superiore.
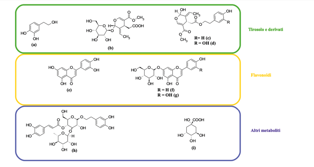
Dal punto di vista nutrizionale l’OP contiene diversi composti fenolici preziosi per applicazioni alimentari, tra cui il tirosolo e qualche suo derivato, alcuni flavonoidi e altri composti di interesse nutraceutico (Figura 1).

Figura 1. Derivati del tirosolo: (a) idrossi-tirosolo, (b) l’11-metil estere dell’oleoside, (c) l’aglicone della ligstroside e (d) dell’oleuropeina; flavonoidi: (e) la luteolina, (f) l’apigenina-7-O-glucoside, (g) la luteolina-7-O-glucoside; altri derivati: (h) verbascoside, e (i) l’acido chinico
Questi composti sono ben noti in letteratura, perché offrono potenziali benefici per l’organismo, come la riduzione dello stress da ossidazione e infiammazione, sostenendo la salute dell’apparato cardiovascolare e del sistema nervoso.
Per tale motivo la crescente domanda di alimenti sani e le qualità nutrizionali descritte in precedenza hanno portato diversi ricercatori a sviluppare nuovi prodotti alimentari arricchiti con l’OP, sia come unico additivo [15-19], sia in combinazione con altri componenti [14], sia in prodotti da forno [20], sia in preparati a base di pesce [21]. In particolare, Balli et al. hanno utilizzato il 7% di OP essiccato per fortificare le tagliatelle, ottenendo un prodotto che aveva trattenuto 6,6 mg/100 mg di idrossi-tirosolo e presentava una buona resistenza e consistenza dopo la cottura [15]. In un altro studio, Cedola et al. hanno dimostrato che gli spaghetti arricchiti con il 10% di OP possedevano un più alto contenuto fenolico e mostravano un’interessante attività antiossidante [20]. Dagli studi è stato possibile, inoltre, notare che l’incorporazione dell’OP altera le caratteristiche sensoriali della pasta ottenuta sia a crudo (colore e qualità complessiva) sia dopo la cottura (colore, sapore, elasticità, consistenza, voluminosità) [17].
4. Descrizione del percorso didattico
Il percorso didattico proposto richiede prerequisiti di base che solitamente si affrontano nelle programmazioni didattiche tra il IV e il V anno di istituto tecnico chimico in Chimica Organica e Biochimica, in Chimica Analitica e Strumentale e in Tecnologie Chimiche Industriali.
Tra questi: carboidrati semplici e complessi, solubilità e struttura dei polisaccaridi, lipidi e proteine, influenza delle biomolecole sul pH delle soluzioni acquose, analisi qualitativa degli amminoacidi e dei protidi mediante il saggio della ninidrina, analisi qualitativa degli acetati, misura del pH e della conducibilità delle soluzioni acquose, essiccamento dei materiali, macinazione e miscelazione industriale.
Il gruppo di ricerca è stato costituito dopo una riunione tra le due studentesse del V anno coinvolte e il docente supervisore, che ha illustrato l’idea di base del progetto, condividendo un estratto della letteratura scientifica relativa. Dopo aver valutato la letteratura ricevuta e il proprio interesse personale, aspetto fondamentale per la motivazione, le studentesse coinvolte hanno formalizzato autonomamente la decisione di partecipare e si è passati alla fase successiva. Il docente ha condiviso con il team tutta la letteratura disponibile e ha descritto un primo tentativo di preparazione della pasta con un campione di OP al 10% senza un essiccamento preventivo (umidità di circa 20%). Da questo incontro e dalla procedura contenuta in letteratura il team ha riprodotto la formulazione del prototipo di pasta arricchita con paté di olive commerciale, seccando a 70 °C per 48 h il paté prima del suo utilizzo [17]: varie percentuali di OP (paté di olive varietà taggiasca, prodotto nello stabilimento Minasso srl, a Caravonica - IM per Eurospin Italia S.p.A.) sono state miscelate con acqua e farina di grano (Eurospin Italia S.p.A.) per pasta, fino a ottenere un impasto omogeneo; l’impasto è stato modellato per ottenere la classica forma “a farfalla” (Figura 2), seccato 5 h nel forno a 70 °C e conservato in buste sigillate per alimenti fino all’analisi del prodotto.

Figura 2. Pasta arricchita con OP seccato in forno (A 5%; B 10%; C 20%; D 30%)
A questo punto il gruppo di ricerca si è riunito con il docente supervisore e ha discusso i limiti della metodica e della conservabilità del prodotto finale.
Sono state evidenziate le seguenti problematiche:
• le formulazioni con percentuali di OP superiori al 35% risultavano non lavorabili per ottenere l’impasto
• dopo l’essiccamento della pasta, nonostante la conservazione nelle buste sigillate, si è formato un principio di ammuffimento della superficie della pasta dopo 20 giorni
Per questo motivo l’insegnante tecnico pratico ha proposto di seccare ulteriormente i campioni per 24 h a 50 °C.
L’equipe di ricerca si è, quindi, misurata con il problema dell’analisi della pasta rinforzata, partendo dalla letteratura recuperata. Le metodiche presentate proponevano l’utilizzo di strumentazione non disponibile, oppure richiedevano standard analitici e sequenze strumentali che avrebbero richiesto esperienza e un lavoro di affinamento complesso [15-19]. Il supervisore ha, allora, suggerito una versione semplificata delle analisi normalmente proposte (indicata di seguito come analisi della traccia in acqua): il campione viene pesato per contenere sempre la stessa quantità di OP (in purezza o in combinazione con gli altri ingredienti), viene macinato con mortaio, miscelato con acqua deionizzata a temperatura ambiente per 30 minuti e filtrato sottovuoto. Le fasi acquose sono state analizzate utilizzando i parametri riportati in Tabella 1 (pH, conducibilità, salinità).
Tabella 1. Dati ottenuti mediante l’analisi della traccia in acqua del paté e dei campioni di pasta
|
Campione |
pH |
Conducibilità (μS/cm) |
Salinità (mg/L) |
|
Paté (OP) |
5,11 |
3220 |
827 |
|
Pasta OP al 5% |
5,75 |
4260 |
2200 |
|
Pasta OP al 10% |
6,20 |
3500 |
1780 |
|
Pasta OP al 20% |
6,11 |
3120 |
1605 |
|
Pasta OP al 25% |
5,98 |
2960 |
1515 |
|
Pasta OP al 30% |
6,20 |
3030 |
1524 |
|
Pasta OP al 35% |
6,10 |
2920 |
1471 |
Gli stessi campioni di acqua così ottenuti sono stati analizzati con il saggio degli acetati (saggio organolettico con KHSO4), con esito negativo. Tutti i campioni di acqua così ottenuti risultano positivi al saggio della ninidrina, cioè contengono in soluzione amminoacidi o peptidi idrosolubili liberi.
A questo punto i dati sono stati discussi in collaborazione con il docente supervisore. L’analisi della traccia in acqua descrive cosa viene perso dalla pasta nell’istante in cui viene a contatto per un tempo relativamente lungo con l’acqua in condizioni non degradative (nessun riscaldamento): in particolare viene descritta la capacità della pasta di mantenere al proprio interno ioni e molecole idrosolubili, interessanti dal punto di vista nutrizionale e organolettico (ad esempio, gli ioni sodio e i componenti lievemente acidi, tra cui gli amminoacidi). Il tempo scelto per la preparazione dei campioni per l’analisi della traccia in acqua è stato determinato attraverso prove a vari tempi di miscelazione con acqua deionizzata a temperatura ambiente (15 min, 30 min, 45 min e 1h): per gli ultimi tre tempi le misure di pH, conducibilità e salinità risultavano comparabili, nei limiti della deviazione standard, consentendo di ipotizzare che l’equilibrio di ripartizione tra fase solida (pasta) e soluzione acquosa fosse stato raggiunto già dopo 30 min.
Siccome i campioni sono costruiti in modo che la quantità di OP presente sia sempre la stessa, la percentuale di farina influenza la quantità di specie idrosolubili rilasciate con un andamento peculiare: in particolare i campioni con OP al 25% e al 35% risultano perdere in acqua la minor quantità di sostanze idrosolubili. Inoltre, si può notare come la presenza di farina influenzi la capacità del paté di oliva di acidificare l’acqua, riducendo la quantità di ioni H3O+ rilasciati in soluzione.
Questi dati preliminari possono essere un primo suggerimento per bilanciare i sapori nella proposta dei piatti a base di pasta rinforzata, anche se non costituiscono un supporto definitivo per ipotesi sulla struttura effettiva del materiale. Il team di ricerca si è ripromesso di approfondire il tema attraverso ulteriori analisi, effettuate anche in seguito alla cottura della pasta.
I campioni OP 5%, 10%, 20%, 30%, e il campione preliminare OP 10% umido sono stati assaggiati dopo 2 min di cottura in acqua bollente senza condimenti, riportando un gusto accettabile (Tabella 2, Figura 3).
Tabella 2. Prove preliminari organolettiche sulle paste
|
Campione |
Descrizione |
|
Pasta OP 5% |
Gusto neutro |
|
Pasta OP 10% |
Gusto neutro |
|
Pasta OP 20% |
Gusto amaro |
|
Pasta OP 30% |
Gusto di patè |
|
Pasta OP umido 20% |
Gusto di patè |

Figura 3. La pasta dopo 5 h a 50 °C per la seccatura (sinistra); cottura della pasta in acqua bollente (destra)
La pasta preparata con il campione OP non seccato, dopo una cottura di 2 minuti, è stata inoltre condita dopo una con due distinte ricette:
a) riduzione di olio, parmigiano e succo di limone, con scorza di limone fresca;
b) crema di formaggio fresco e pomodoro secco, soppressata piccante e mollica tostata.
In entrambi i casi per il campione OP non seccato il leggero retrogusto di paté risulta perfettamente integrato nei due condimenti e i piatti risultano piacevoli a caldo (Figura 4). In nessun caso si sono avuti effetti indesiderati nella digestione dei piatti assaggiati.

Figura 4. La pasta con i due condimenti: limone e parmigiano (sinistra) e formaggio fresco e soppressata (destra)
A questo punto il docente supervisore ha proposto di preparare le formulazioni con modifiche sulla farina: il gruppo di ricerca ha proposto una versione contenente farina integrale (Eurospin Italia S.p.A.), ricca di fibre, e una farina a basso contenuto glutinico. In questo secondo caso, cercando il contatto con il territorio, la scelta è ricaduta sul grano antico di varietà ENKIR, coltivato nell’azienda U Veggiu Frantoio di Molini di Triora (IM) e macinato nel vicino Piemonte. Anche questi campioni sono stati analizzati come indicato precedentemente (Tabella 3), mostrando un comportamento diverso da quello dei campioni preparati con farina normale: per la farina integrale il rilascio più basso di sostanze idrosolubili avviene al 20% di OP, mentre per il grano antico avviene al 10%. Questo comportamento è peculiare della composizione delle farine utilizzate.
Tabella 3. Dati ottenuti mediante l’analisi della traccia in acqua del paté e dei campioni di pasta
|
Campione |
pH |
Conducibilità (μS/cm) |
Salinità (mg/L) |
|
Patè (OP) |
5,11 |
3220 |
827 |
|
Integrale e OP al 10% |
5,72 |
2810 |
1418 |
|
Integrale e OP al 20% |
5,42 |
1879 |
948 |
|
Integrale e OP al 30% |
5,66 |
2050 |
1044 |
|
Grano antico e OP al 10% |
5,78 |
3310 |
1714 |
|
Grano antico e OP al 20% |
5,81 |
3790 |
1942 |
|
Grano antico e OP al 30% |
6,39 |
3390 |
1733 |
Avendo raggiunto un grado di consapevolezza superiore del proprio progetto e del campo di ricerca collegato, il team di ricerca ha quindi cominciato ad affrontare in maniera creativa e indipendente alcuni aspetti collaterali dello sviluppo del prodotto. In particolare, il colore scuro della pasta poteva essere considerato un problema dal punto di vista commerciale perché avrebbe potuto scoraggiare un consumatore; per questo motivo sono stati proposti nomi accattivanti, come: farfalle al nero di taggiasca, falene di Liguria, farfalle di oliveto. Per avere un’idea di come un prodotto di questo tipo potesse essere commercializzato è stato proposto un opportuno spunto a Chat GPT-4 per costruire modelli di campagne pubblicitarie (Figura 5a). Inoltre, con lo stesso impasto è stato preparato un prodotto salato da forno semplice, che può essere utilizzato negli aperitivi o negli antipasti e che conserva al suo interno il sapore del paté (Figura 5b).

Figura 5. Campagna pubblicitaria per la dicitura Farfalle al nero di oliva taggiasca (a); snack ottenuto con la pasta rinforzata con OP cotta al forno ventilato, guarnita con sale grosso (b)
Il team di ricerca, dopo aver raccolto e commentato i dati, ha infine affrontato la divulgazione in collaborazione con il docente che si occupava di rapporti con il territorio. Di comune accordo, in relazione al carattere del progetto si è deciso di partecipare alle seguenti manifestazioni:
a) XXV Premio del Museo Vincenzo Agnesi, marzo 2025, una competizione nazionale nata nel 1991 con lo scopo di far conoscere e valorizzare la pasta italiana nel mondo, di stimolare la ricerca su questo tipico cibo italiano e di diffondere la cultura gastronomica;
b) Conferenza Mulini Storici, tra passato e presente, 26 aprile 2025 a Villa Faraldi (IM), un evento che è organizzato dall’AIAMS in un antico frantoio completamente ristrutturato e conservato e che si focalizzava sulla storia dell’edificio, sul suo recupero e sull’importanza della molitura e dei suoi prodotti nell’economia turistica del territorio.
c) Conferenza Pasta rinforzata con le olive: innovazione e tradizione, 30 maggio 2025 Pontedassio (IM) nella manifestazione EXPO Valle Impero, un festival delle produzioni gastronomiche della Valle Impero gestito in collaborazione da Regione e Camera di Commercio per presentare le eccellenze alimentari del territorio.
La scelta degli eventi di divulgazione è stata fatta valutando una progressiva partecipazione delle studentesse alla presentazione del lavoro: per il premio Agnesi le ragazze hanno confezionato un video su YouTube, inviato come parte integrante del lavoro [22]; per la prima conferenza a Villa Faraldi hanno presentato i primi risultati nella parte finale dell’intervento del docente supervisore; per il festival della manifestazione EXPO Valle Impero, infine, hanno mostrato tutta la parte sperimentale del lavoro con una breve introduzione del docente supervisore, hanno risposto alle domande del pubblico e hanno gestito la presentazione allo stand dell’istituto scolastico davanti alle autorità e ai visitatori.
4.1 Appendice sperimentale
Materiali
Per la preparazione delle paste alimentari sono stati utilizzati paté di olive (prodotto da Minasso srl, a Caravonica - IM per Eurospin Italia S.p.A.), farina di grano duro per pasta, farina integrale (marchio Tre Mulini di Eurospin Italia S.p.A.) e acqua oligominerale naturale (marchio Ginevra, fonte Flavia, acquistata presso Eurospin Italia S.p.A.). Per le analisi chimiche è stata utilizzata acqua demineralizzata e reagenti sono stati acquistati da Sigma Aldrich.
Strumentazione
Le misure analitiche di pH sono state effettuate a 20 °C con il pHmetro digitale HACH SenseIon+ PH3, utilizzando un elettrodo combinato HACH 50-10T opportunamente tarato dopo ogni misura con le soluzioni standard (pH 4,01, 7,00 e 10,00). Le misure di conducibilità e salinità sono state ottenute a 20 °C mediante conduttimetro digitale Crison Basic 30, utilizzando una cella Crison 50 70 opportunamente tarata dopo ogni misura con le soluzioni standard (conducibilità 12,88, 147 e 1413 μS/cm). Il paté di olive è stato seccato preventivamente nel forno della cucina a 70 °C per 48 h prima del suo utilizzo. I campioni di pasta ottenuti nelle cucine domestiche, secondo la procedura riportata, sono stati seccati ulteriormente a 50 °C per 24 h, utilizzando una stufa da laboratorio DRY-Line 112 Prime per aumentarne la conservabilità.
Preparazione dei campioni di pasta rinforzata
Le formulazioni di pasta sono state ottenute come segue. In un recipiente di acciaio sono stati miscelati 200 g totali di farina e di paté seccato (la percentuale di paté è riportata rispetto a questa quantità: ad esempio, paté al 10% equivale a 180 g di farina e 20 g di paté) in modo da disperdere in maniera omogenea i due solidi. L’impasto è stato ottenuto aggiungendo quindi 110 mL di acqua oligominerale naturale e lavorando il tutto per circa 15 minuti. La pasta è stata, quindi, modellata a mano secondo la forma “a farfalla” e seccata nel forno di casa per 5 h a 50 °C per garantire la conservabilità.
Preparazione dei campioni acquosi per le analisi di pH, conducibilità e salinità
Un campione di pasta opportunamente pesato in modo da contenere sempre la stessa quantità di paté viene macinato meccanicamente, fino a ottenere una polvere di taglia micrometrica, e miscelato con 50 mL di acqua deionizzata a temperatura ambiente per 30 minuti. I solidi vengono quindi rimossi sottovuoto e le soluzioni conservate a 4 °C per le successive analisi. Le analisi di pH, conducibilità e salinità sono effettuate su un’aliquota del campione in agitazione a 20 °C. I dati riportati sono la media di tre misure per ogni campione (deviazione standard ottenuta 0.1%).
Test per l’analisi degli acetati
Un’aliquota da 1 mL di soluzione acquosa, preparata come precedentemente descritto, viene macinata in un mortaio con 50 mg di KHSO4. In presenza di acetati si sviluppa acido acetico, rilevabile dal caratteristico odore di aceto [23].
Test per l’analisi della ninidrina
Un’aliquota di 1 mL di soluzione acquosa, preparata come precedentemente descritto, viene seminata su una striscia di carta da filtro (3 × 10 cm) e lasciata asciugare all’aria per 30 min. In seguito, la striscia viene trattata con 1 mL di soluzione acquosa standard di ninidrina (0.4% in peso) e riscaldata a 110 °C per 5-10 min. La comparsa della colorazione viola indica la presenza di amminoacidi e di peptidi idrosolubili [24].
Con questa proposta didattica abbiamo presentato un progetto di Capolavoro, adatto al V anno di un istituto tecnico per chimici con articolazione Chimica e Materiali, collegato al territorio e alla sostenibilità. Il progetto è stato svolto utilizzando una metodologia didattica basata sulla ricerca-azione partecipata che prevedeva la creazione di un gruppo di ricerca misto studenti/docenti/tecnici responsabile di tutte le attività sperimentali. Il team di ricerca era costituito da due studentesse, un docente che fungeva da supervisore scientifico, un altro che si occupava della parte di divulgazione dei risultati e dei contatti con le aziende, un insegnante tecnico pratico e un assistente tecnico che si occupavano della parte tecnica. Il Capolavoro ottenuto è collegabile con le discipline dell’ultimo anno di corso e ha consentito agli studenti di approfondire temi come le biomolecole (soprattutto polisaccaridi, proteine e lipidi), la misura di pH e conducibilità, legata alla presenza di specie ioniche in soluzione acquosa, i metodi di essiccazione e di polverizzazione meccanizzata in ambito industriale. I risultati hanno permesso di approfondire il tema della sostenibilità e del recupero degli alimenti a fine scadenza con attrezzature semplici e metodiche esplorate dalla letteratura scientifica di settore. I test finali e il successo degli eventi di divulgazione hanno incoraggiato l’istituto scolastico a contattare alcune aziende del settore per valutare la fattibilità di un approccio industriale.
[1] Direttiva MIUR n° 4 del 16.01.2012, Linee guida per il passaggio al nuovo ordinamento, secondo biennio e quinto anno.
[2] P. Champollion, Education and territory: a conceptual framework, Sisyphus – Journal of Education, 2015, 3, 12-27.
[3] J. S. Bruner, La cultura dell’educazione, Feltrinelli, Milano, 1996.
[4] Innovazione didattica e personalizzazione: nuove prospettive per la scuola italiana, 2020, INDIRE.
[5] D. Langmeier, E. Schmassmann, S. Degelo, Agenda 2030 & Sistemi alimentari, 2021. Piattaforma Agenda 2030 (https://www.piattaforma-agenda2030.ch/pubblicazioni/in-sintesi/in-sintesi-agenda-2030-sistemi-alimentari/).
[6] S. Bonaiuti, Mulini storici, conoscenza e modi d’uso, Editore AIAMS, 2016.
[7] A. M. Guccini, Le ruote dell’olio, Editore AIAMS, 2021.
[8] Ministero dell’Istruzione e del Merito, Piattaforma UNICA, E-Portfolio, 2025 (https://unica.istruzione.gov.it/portale/it/orientamento/il-tuo-percorso/e-portfolio).
[9] A. J. Anderson, A qualitative systematic review of youth participatory action research implementation in U.S. high schools, Am. J. Community Psychol., 2020, 65, 242-257.
[10] A. Malorni, C. H. Lea III, K. Richards-Schuster, et al., Facilitating youth participatory action research (YPAR): A scoping review of relational practice in U.S. youth development & out-of-school time projects, Child. Youth Serv. Rev., 2022, 136, 106399.
[11] F. Bianchi, R. Tolve, G. Rainero, et al., Technological, nutritional and sensory properties of pasta fortified with agro-industrial by-products: a review, Int. J. Food Sci. Tech., 2021, 56, 4356.
[12] M. S, Yilmaz, N. Kutlu, O. Sakiyan, et al., Optimization of a novel–enriched pasta production and its physical, chemical, and characteristic properties, J. Food Process. Pres., 2024 (https://doi.org/10.1155/2024/8812867).
[13] V. Conti, C. Piccini, M. Romi, et al., Pasta enriched with carrot and olive leaf flour retains high levels of accessible bioactives after in vitro digestion, Foods, 2023, 12, 3540.
[14] A. Lordi, O. Panza, A. Conte, et al., Best combination of vegetable by-products for the shelf-life, Extension of Fresh Pasta Foods, 2024, 13, 44.
[15] D. Balli, L. Cecchi, M. Innocenti, et al., Food by-products valorisation: grape pomace and olive pomace (patè) as sources of phenolic compounds and fiber for enrichment of tagliatelle pasta, Food Chem., 2021 355, 129642.
[16] L. Padalino, I. D’Antuono, M. Durante, et al., Use of olive oil industrial by-product for pasta enrichment, Antioxidants, 2018, 7, 59.
[17] D. M. Ferreira, B. C. C. Oliveira, C. Barbosa, et al., Pasta incorporating olive pomace: impact on nutritional composition and consumer acceptance of a prototype, Foods, 2024, 13, 2933.
[18] B. Simonato, S. Trevisan, R. Tolve, et al., Pasta fortification with olive pomace: effects on the technological characteristics and nutritional properties, LWT – Food Sci. Tech., 2019, 114, 108368.
[19] L. Cecchi, N. Schuster, D. Flynn, et al., Sensory profiling and consumer acceptance of pasta, bread, and granola bar fortified with dried olive pomace (Paté): A byproduct from virgin olive oil production J. Food Sci., 2019, 84, 2995
[20] A. Cedola, A. Cardinali, I. D’Antuono, et al., Cereal foods fortified with by-products from the olive oil industry. Food Biosci. 2020, 33, 100490.
[21] A. Cedola, A. Cardinali, M.A. Del Nobile, et al., Fish burger enriched by olive oil industrial by-product. Food Sci. Nutr. 2017, 5, 837.
[22] Il video del concorso del XXV Premio del Museo Vincenzo Agnesi è visionabile all’indirizzo https://www.youtube.com/watch?v=MOINAD8DBzY.
[23] A. Peloso, Analisi Chimica Qualitativa Inorganica, Vol II, Editore Libreria Cortina, Padova, 1991.
[24] B. S. Furniss, A. J. Hannaford, V. Rogers, et al., Vogel Chimica Organica Pratica, Seconda Edizione, Editore Casa Editrice Ambrosiana, Milano, 1988.
Le studentesse Valentina Blengini e Serena Oneglio hanno svolto il lavoro e hanno pubblicato i risultati come Capolavoro sul portale UNICA del MIM. Romina Giordano e Daniele Solazzo, rispettivamente l’assistente tecnico e l’insegnante tecnico pratico, hanno seguito la realizzazione tecnica del lavoro, partecipato alle esposizioni esterne e organizzato i materiali per le esposizioni. Cristina Gandolfo si è occupata della stesura dei capolavori e dei rapporti con gli enti esterni per la divulgazione sul territorio. Gian Luigi Puleo ha proposto l’idea, supervisionato il lavoro e partecipato alle conferenze come co-relatore. Tutti gli autori hanno collaborato alla stesura finale del manoscritto.
Si ringrazia l’Associazione Italiana Amici dei Mulini Storici per la proposta di collaborazione sul tema Le ruote del grano e dell’olio, in particolare il Dr. Giuseppe Gandolfo, il Dr. Giampiero Laiolo e il Presidente Gabriele Setti. Si ringrazia il Prof. Davide Gaglione per la collaborazione e il signor Luigi Capponi dell’azienda U Veggiu Frantoio di Molini di Triora (IM) per aver fornito gratuitamente la farina di grano antico ENKIR usata nella preparazione dei campioni di pasta. Si ringraziano il sindaco Dr. Stefano Damonte e l’amministrazione comunale di Villa Faraldi (IM), il sindaco Dr. Fulvio Pezzuto e l’amministrazione comunale di Pontedassio (IM), per averci consentito di partecipare alle manifestazioni e per averci dato tutto il supporto tecnico necessario. Si ringrazia la Dirigenza e gli Uffici Amministrativi del Polo Tecnologico Imperiese, in particolare il Dirigente Scolastico Prof. Giovanni Battista Siffredi, per aver creduto in questo progetto didattico innovativo. Si ringraziano, infine, i genitori delle due studentesse coinvolte per aver messo a disposizione gratuitamente i materiali e l’utilizzo delle loro cucine per la preparazione della pasta.